你现在的位置: 首页 >> 科研成果 >> 研究进展

近地小行星表面热物理特性研究
文章来源:     发布时间: 2016-01-29     【字号:

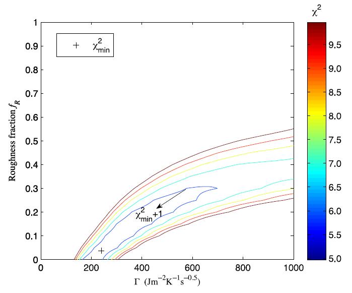
研究团队基于目前国际上先进的小行星热物理模型和Bennu最新的三维形状模型,利用空间望远镜Spitzer-PUI, Spitzer-IRAC, Herschel/PACS和地面望远镜ESO VLT/VISIR的多组热红外观测数据,首次同时限定出小行星Bennu表面热惯量、粗糙度等表面物理性质的1σ范围(图1),得到其热惯量为240+440-60Jm-2s-0.5K-1,粗糙度为0.04+0.26-0.04,几何反照率为0.047+0.0083-0.0011。热惯量是描述小行星表面热状态和物质颗粒状态的重要物理量。根据推算的表面热惯量值与其表面温度分布,进一步估计了小行星Bennu表面物质颗粒尺寸的范围约为1.331 mm,这说明该小行星表面可能大部分区域为表壤所覆盖,但可能存在少量的岩石。这些研究成果,很大程度上支持了NASA OSIRIS-REx任务Touch-And-Go采样机制的可行性。更重要的是,这些研究方法将来可应用于我国未来的小行星深空探测任务,不仅能提供探测目标小行星的表面反照率、粗糙度及热惯量等关键科学参数,还对认知深空探测器的临近辐射环境和附着与采样环境、为科学载荷的设计与研制等提供重要的工程应用价值。(Yu & Ji, 2015, MNRAS, 452, 368           

 

   

                                        

                                       图1 Bennu小行星热惯量与粗糙度在二维参数空间分布